Военнослужащие, участвующие в международных боевых действиях, наделены определенными правами в соответствии с правовыми рамками, установленными конвенциями 1949 года, в частности, когда комбатант попадает в плен или получает ранение. Протокол от 8 июня 1977 года внес изменения в эти рамки, усилив защиту военнослужащих и некомбатантов во время военных действий. Эти дополнения были направлены на уточнение и расширение юридических определений и объема защиты, предоставляемой лицам, оказавшимся в зонах конфликта.
В отношении вооруженных сил новые положения подробно рассматривают защиту военнопленных и гражданских лиц, оказавшихся в зоне конфликта, предъявляя к сторонам вооруженного конфликта жесткие требования по соблюдению норм международного права. Протокол разъясняет обязательства государств по предотвращению нарушений и привлечению к ответственности виновных лиц за такие действия, как военные преступления и другие правонарушения. Кроме того, он призван обеспечить достойное обращение с участниками вооруженных конфликтов, особенно с военнослужащими, и предоставление им прав независимо от характера их участия.
Что касается конкретно военнослужащих, то протокол вносит важные изменения в меры защиты во время плена и условия содержания заключенных. В нем также содержатся поправки, касающиеся обращения с ранеными комбатантами, с упором на гуманное обращение и доступ к медицинской помощи. Эти правила были опробованы в различных международных трибуналах, где они служат ориентиром при преследовании преступлений и защите жертв войны.
Поправки 1977 года стали важным шагом в эволюции военного права, подчеркнув важность соблюдения международных гуманитарных стандартов. Они направлены на облегчение страданий участников вооруженных конфликтов и устанавливают четкие руководящие принципы преследования за военные преступления, отражая глобальное стремление уменьшить последствия войны для всех вовлеченных сторон.
Изменения и дополнения к Протоколу 1977 года

Второй протокол, подписанный в 1977 году, вносит существенные изменения в правила, регулирующие вооруженные конфликты, уделяя основное внимание защите комбатантов и некомбатантов. Эти изменения подчеркивают важность обеспечения безопасности военнослужащих и гражданского населения во время конфликта. Документ расширяет права и обязанности вовлеченных сторон и укрепляет механизмы защиты тех, кто пострадал от действий воюющих сил.
Ключевые изменения в военном взаимодействии
Одно из наиболее заметных изменений касается обращения с военнопленными и более широкого круга действий военнослужащих. Вооруженные силы должны придерживаться четких инструкций по ведению боевых действий, обеспечивающих проведение боевых операций в рамках международного права. Это включает в себя указание типов оружия, допустимых в боевых действиях, и ограничений на его применение. Протокол также подчеркивает необходимость проводить различие между военными целями и гражданской инфраструктурой, подтверждая важность минимизации ущерба для невинных людей, оказавшихся в зоне конфликта.
Судебные соображения в случаях нарушений
Военные трибуналы и суды получили четкий мандат на рассмотрение дел, связанных с нарушением установленных правил. В ходе этих судебных разбирательств рассматриваются самые разные вопросы — от незаконных нападений до неправомерных действий вооруженных сил, что обеспечивает систему привлечения к ответственности. К делам о военных преступлениях и нарушениях военного поведения следует относиться со всей серьезностью, обеспечивая, чтобы лица, виновные в противоправных действиях, понесли соответствующие последствия. Документ предусматривает меры по улучшению документирования инцидентов, укреплению правовой базы для судебного преследования и содействию правосудию в международных конфликтах.
Что касается изменений в правовых нормах, то поправки расширяют категории преступных деяний, еще более уточняя роль военнослужащих в соблюдении принципов гуманитарного права. Это включает более строгую трактовку преступлений, совершенных во время вооруженного конфликта, что позволяет проводить более детальное расследование и судебный контроль в вопросах неправомерного поведения военнослужащих.
Правовой статус и применение Дополнительного протокола I в международных вооруженных конфликтах

Правовой статус положений, касающихся защиты людей во время вооруженных конфликтов, регулируется соглашениями, заключенными в 1977 году. Эти положения определяют конкретные правила ведения боевых действий и обращения с комбатантами и гражданскими лицами. Их применение зависит от включения в национальные и международные правовые системы, при этом государства обязаны соблюдать их условия во время войны.
Правовая база и механизмы обеспечения соблюдения
После ратификации каждая подписавшая сторона обязана включить правила в свои военные уставы и оперативные директивы. Это обеспечивает информированность военнослужащих об их обязанностях, особенно в отношении обращения с военнопленными, ранеными и гражданским населением. Нарушения этих правил, такие как незаконные нападения на гражданские объекты или применение запрещенного оружия, считаются серьезными нарушениями и подлежат преследованию военными трибуналами или международными уголовными судами.
- Военные трибуналы играют важнейшую роль в преследовании военных преступлений, совершенных солдатами, обеспечивая, чтобы виновные в нарушениях предстали перед судом.
- В случаях несоблюдения или нарушения установленных норм стороны могут быть привлечены к ответственности в международных судах или национальных юрисдикциях.
- Государства должны принимать необходимые меры по предотвращению нарушений, обучать свои вооруженные силы и создавать правовую структуру для рассмотрения потенциальных военных преступлений.
Проблемы в реализации и соблюдении
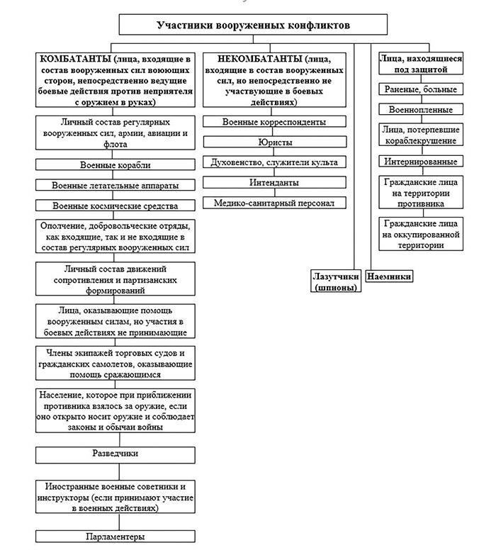
Несмотря на четкую правовую базу, обеспечение всеобщего соблюдения этих правил сопряжено с определенными трудностями. Некоторые государства могут не полностью включать эти правила в свое национальное законодательство, что приводит к расхождениям в правоприменении. Кроме того, различие между комбатантами и некомбатантами иногда размыто, особенно в асимметричных конфликтах, где нерегулярные вооруженные группы могут не придерживаться обычных военных норм.
- Присутствие негосударственных субъектов и нерегулярных сил усложняет обеспечение соблюдения этих правил во время конфликта.
- Защита гражданских лиц
Гражданские лица имеют право на защиту от прямых военных атак. Любые действия, направленные на поражение некомбатантов, считаются незаконными и влекут за собой серьезные последствия для виновных. К ним относятся такие действия, как неизбирательные удары и поражение объектов гражданской инфраструктуры, не служащих военным целям. В случаях, когда в результате военных операций страдает гражданское население, вооруженные силы должны продемонстрировать усилия по минимизации потерь.
Права комбатантов и гарантии

Комбатантам, участвующим в боевых действиях, также предоставляются особые меры защиты. В случае захвата в плен им гарантируется гуманное обращение. Пересмотренные соглашения содержат четкие правила обращения с военнопленными, включая защиту от пыток, казней без надлежащего судебного разбирательства и произвольного задержания. Кроме того, существуют положения, регулирующие поведение комбатантов во время военных действий, обеспечивающие соблюдение принципов соразмерности и необходимости.
Эти положения являются важнейшим обновлением предыдущих стандартов, обеспечивая более четкие определения и более комплексную защиту в зонах конфликтов. В соответствии с этими положениями как вооруженные силы, так и гражданское население теперь защищены лучше, что обеспечивает большую ответственность за противоправные действия во время войны. Изменения еще больше повышают ответственность комбатантов и вооруженных сил за их поведение во время международных конфликтов, делая больший акцент на предотвращении страданий и защите человеческого достоинства во время войны.
Как пленарное заседание Верховного суда повлияло на рассмотрение дел о военных преступлениях
Второй пленум Верховного суда в 1977 году существенно изменил порядок рассмотрения дел о военных преступлениях, особенно в отношении поведения комбатантов и военнослужащих во время международных конфликтов. Постановление разъяснило, как военные действия, в частности нарушения со стороны вооруженных сил, должны рассматриваться в рамках международного права с акцентом на индивидуальную ответственность.
Влияние на юридические прецеденты
В результате этой сессии были внесены ключевые изменения в юридическую интерпретацию действий солдат и командиров. На пленарном заседании было подчеркнуто, что военнослужащие, даже в боевой обстановке, несут ответственность за действия, нарушающие установленные нормы ведения войны. Это постановление предоставило судам более четкий путь для рассмотрения дел о преступлениях, совершенных военными, особенно тех, которые связаны с противоправными действиями в отношении гражданских лиц, военнопленных и других лиц, находящихся под защитой.
Влияние на судебное преследование за военные преступления

После этого пленума дела, связанные с военными преступлениями, стали в большей степени соответствовать международным правовым стандартам, особенно в отношении защиты некомбатантов и обращения с заключенными. Теперь суды были лучше подготовлены к рассмотрению обвинений в неправомерном поведении в рядах военнослужащих, обеспечивая привлечение виновных к ответственности за нарушение установленных правил ведения боевых действий. Этот сдвиг сыграл решающую роль в формировании подхода к судебному преследованию военных преступлений, подчеркнув важность соблюдения правовых рамок даже во время военных действий.
Изменения и дополнения к Протоколу 1977 года: Военная необходимость и гуманитарные принципы
Поправки 1977 года к протоколу, направленные на улучшение защиты людей во время военных конфликтов, подчеркивают баланс между военной необходимостью и гуманитарными соображениями. Крайне важно рассматривать эти обновления в контексте меняющейся тактики ведения войны и ее влияния на поведение военных и обращение с комбатантами, пленными и гражданскими лицами.
Одно из ключевых изменений касается защиты некомбатантов, включая гражданских лиц, которые ни при каких обстоятельствах не должны становиться объектом нападения. Эти изменения усиливают обязательства военнослужащих, особенно в отношении неизбирательных нападений, и подчеркивают важность соразмерности в применении силы. Принцип военной необходимости не оправдывает действия, причиняющие чрезмерный вред тем, кто не участвует в боевых действиях.
Статья 51, в частности, разъясняет различие между комбатантами и гражданскими лицами. Любые действия должны исключать нанесение ущерба гражданской инфраструктуре, особенно той, которая не способствует достижению военных целей. Протокол расширяет сферу ответственности военных командиров, возлагая на них ответственность за нарушение этих принципов, укрепляя идею о том, что командиры должны иметь четкие инструкции и пройти обучение по защите гражданских лиц во время конфликта.
Еще одно важное дополнение касается обращения с военнопленными. Поправки подчеркивают гуманное обращение с ними на всех этапах, независимо от их статуса. Это включает их защиту от насилия, запугивания и мести, обеспечивая уважение их достоинства при любых обстоятельствах. Это особенно важно в период военной оккупации или во время вооруженных столкновений, когда комбатанты могут быть захвачены в плен.
Внеся эти изменения в протокол 1977 года, международное сообщество дало четкий сигнал о важности соблюдения прав человека даже в условиях войны. Подобные правовые рамки должны учитываться при рассмотрении дел в международных судах, в том числе при определении уголовной ответственности за нарушения, совершенные во время военных конфликтов.
Профессионалам в области права, военным командирам и другим заинтересованным сторонам необходимо быть хорошо осведомленными об этих изменениях, чтобы обеспечить их полное соблюдение и избежать нарушений, которые могут привести к обвинениям в военных преступлениях. Понимание баланса между военными целями и защитой гражданского населения и пленных остается краеугольным камнем современного международного гуманитарного права, которое должно постоянно пересматриваться в свете текущих глобальных конфликтов и правовых прецедентов.
Роль международных уголовных судов в обеспечении соблюдения положений правовых поправок 1977 года
Международные уголовные суды играют важнейшую роль в обеспечении ответственности лиц, виновных в нарушениях военного права, включая преступления, совершенные в ходе международных боевых действий. Этим судебным органам поручено расследовать и преследовать нарушения, касающиеся комбатантов, гражданских лиц и военнослужащих, как указано в соглашениях, подписанных во второй половине XX века.
Механизмы обеспечения соблюдения
Для эффективного обеспечения соблюдения правовых норм международные суды опираются на многочисленные механизмы:
Расследования: Суды проводят тщательные расследования военных действий, которые могут представлять собой военные преступления или другие серьезные правонарушения, особенно те, которые затрагивают некомбатантов.
Судебное преследование: Отдельные лица, включая командиров и солдат, могут быть привлечены к ответственности за участие в актах насилия, нарушающих принятые стандарты защиты во время вооруженных конфликтов.
Юрисдикция: Эти суды действуют в глобальном масштабе, часто проводя судебные разбирательства в отношении лиц, находящихся за пределами территории, на которой были совершены преступления, что позволяет преступникам избежать правосудия по географическому признаку.
- Несмотря на свои полномочия, международные уголовные суды сталкиваются с рядом проблем, мешающих им в полной мере обеспечить соблюдение положений протоколов 1977 года:
- Политические барьеры: Влияние влиятельных государств может препятствовать судебному преследованию высокопоставленных чиновников или военачальников, причастных к грубым нарушениям военного права.
- Сотрудничество со стороны государств: Суды в значительной степени зависят от сотрудничества государств при аресте подозреваемых и обеспечении их присутствия на судебных заседаниях. Несоблюдение этого требования может помешать правосудию.
Ограниченность ресурсов: Многие суды испытывают нехватку ресурсов, что сказывается на их способности своевременно проводить расследования и судебные разбирательства.
В делах, связанных с международными военными действиями, усилия международных судов играют ключевую роль в обеспечении справедливости и подотчетности. Их работа подчеркивает важность обеспечения соблюдения правовых рамок, призванных защитить тех, кто пострадал от вооруженных конфликтов.
- Трудности применения Протокола I: юридические, практические и судебные препятствия
- Одна из главных трудностей в реализации положений этого правового документа заключается в сложной интерпретации его терминов, особенно касающихся комбатантов и некомбатантов во время вооруженного конфликта. Ученые-юристы продолжают спорить о масштабах защиты, предоставляемой военнослужащим и военнопленным, ставя под сомнение четкое разграничение между законными комбатантами и незаконными боевиками, что затрудняет преследование и привлечение к ответственности в случаях военных преступлений.
- Правовые препятствия часто возникают, когда национальным судам или международным трибуналам поручают применять эти правила в делах, связанных с нарушением законов о задержанных и обращении с гражданскими лицами. Отсутствие всеобщего признания или последовательного применения этих правил государствами, особенно в регионах с продолжающимися конфликтами, приводит к двусмысленности в правоприменении. Например, правовой статус наемников остается спорным: некоторые страны утверждают, что их действия не подпадают под действие этих норм. Кроме того, национальные правовые системы могут не в полной мере учитывать эти положения, что подрывает усилия международных органов по привлечению виновных к ответственности за преступления, совершенные во время войны.
Практические проблемы возникают при реализации мер защиты отдельных лиц. В хаосе военных действий становится все труднее различать гражданское население и комбатантов. В реальных зонах конфликтов, где решения быстро принимаются на поле боя, соблюдение правовых норм по защите некомбатантов часто упускается из виду. Ограниченные возможности государств по контролю и обеспечению соблюдения этих принципов в конфликтных ситуациях еще больше усугубляют ситуацию.
В заключение следует отметить, что, хотя рамки, заложенные в этом правовом документе, обеспечивают существенную защиту, его применение по-прежнему затруднено из-за юридических несоответствий, практических проблем с обеспечением соблюдения и судебных разногласий по поводу толкования. По мере развития вооруженных конфликтов должны меняться и стратегии обеспечения эффективного применения этих норм для предотвращения дальнейших нарушений и защиты тех, кто пострадал от таких конфликтов.